探索类似电池

Sunwoda SFP-01-2070

获取有关 Sunwoda SFP-01-2070 锂离子电池单元的所有所需信息:全运行范围内的广泛测量数据、具有全球有效性且高精度的物理电池模型,以及包含所有材料和微观结构详细信息的拆解报告。

电池的起源 外供
电池类型 棱柱形
尺寸 193 x 110 x 50.8 mm
重量 2.5066 kg
容量
定义关闭
标称容量基于制造商的数据表,如果数据表不可用,则标称容量为估计值。巴特莫在25°C的环境温度下从100%放电,并用恒定电流测量C/10容量。使用20A (0.1C) 放电,直到达到2V的电压。热边界条件为自然对流。
标称 200 Ah
C/10 195.6 Ah
电流
定义关闭
所有数据均来自巴特莫电池实验室的测量结果。
连续电流是完全放电而不使电池过热的最高电流。因此,电池在25°C的环境温度下从100%的充电状态(SOC)开始,以恒定电流放电,直到剩余充电状态降至10%或达到下限电压限制2V,或最大表面温度的90%(54°C)。
峰值电流是电池能够在5分钟内提供的电流。因此,电池在25°C的环境温度下从100% SOC开始,以恒定电流放电,直到5分钟后达到下限电压限制2V或最大表面温度60°C。对于达到最大表面温度的电池,测量的电流直接作为峰值电流。对于在5分钟后未达到最大表面温度但首先达到下限电压限制的电池,测量的电流会乘以一个修正系数,以估计在5分钟内会将电池加热到最大表面温度的电流。
热边界条件为自然对流。这些操作条件可能超出电池制造商的规格。
连续 357 A
峰值 892 A
能量
定义关闭
巴特莫测量了在25°C环境温度下,从100%充电状态用恒定电流20A (0.1C) 放电直到达到2V的C/10能量。热边界条件为自然对流。
C/10 720.2 Wh
功率
定义关闭
所有数据均来自巴特莫电池实验室的测量结果。
连续功率是完全放电而不使电池过热的最高功率。因此,电池在25°C的环境温度下从100%的充电状态(SOC)开始,以恒定电流放电,直到剩余充电状态降至10%或达到下限电压限制2V,或最大表面温度的90%(54°C)。
峰值功率是电池能够在5分钟内提供的功率。因此,电池在25°C的环境温度下从100% SOC开始,以恒定电流放电,直到5分钟后达到下限电压限制2V或最大表面温度60°C。对于达到最大温度限制的电池,测量的功率直接作为峰值功率。对于在5分钟后未达到最大表面温度但首先达到下限电压限制的电池,测量的功率会乘以一个修正系数,以估计在5分钟内会将电池加热到最大表面温度的功率。
热边界条件为自然对流。这些操作条件可能超出电池制造商的规格。
连续 1.26 kW
峰值 3.2 kW
能量密度
定义关闭
能量密度由C/10能量、电池重量和电池体积计算得出。
重量能量密度 287 Wh/kg
体积能量密度 665 Wh/l
功率密度
定义关闭
功率密度由峰值功率、电池重量和电池体积计算得出。
重量功率密度 1.28 kW/kg
体积功率密度 2.95 kW/l
Chemistry
definition
cathode ████
anode ████
Resistance
definition
RAC ██ mΩ
Rpol ██ mΩ
DCIR ██ mΩ
Heat Power
definition
@ 1C ██ W
@ 3C ██ W
Efficiency
definition
@ C/2 ██ %
@ 1C ██ %
Unlock more specs in Batemo Insights 使用 Insights 解锁

通过 Batemo Insights 发现更多

使用 100+ 指标、老化数据、热分析等探索 SFP-01-2070

试用 Insights

Sunwoda SFP-01-2070 模型

锂离子 Sunwoda SFP-01-2070 电池的 Batemo 电池模型是一个高精度的物理电池模型,具有全局有效性。作为一个数字孪生模型,它可通过模拟将您的决策无缝集成到您的研究、开发和电池分析中。有关巴特莫电池模型的特性和功能的详细信息,请参见 详情。Batemo 通过比较以下范围内的电池模拟和测量数据,证明了 Batemo 电池模型的准确性和有效性。验证范围广泛,实验特征涵盖电池的整个运行区域: 在低温和高温、最大电流和整个充电状态范围内。

充电状态范围 0 … 100%
电流范围
定义

电流范围是巴特莫电池实验室中使用的电流限制。关于电池安全工作范围的准确定义,请参阅 Sunwoda SFP-01-2070 数据表。
-1000 A 放电 … 400 A 充电 (-5C … 2C)
电压范围
定义

电压范围是巴特莫电池实验室中使用的电压限制。关于电池安全工作电压范围的准确定义,请参阅 Sunwoda SFP-01-2070 数据表。
2 … 4.25 V
温度范围
定义

温度范围是巴特莫电池实验室中使用的温度限制。关于电池安全工作温度范围的准确定义,请参阅 Sunwoda SFP-01-2070 数据表。
-20 … 60 °C

此外,巴特莫电池模型的验证将完全透明。巴特莫电池数据包含原始测量数据和仿真数据。所有实验都会计算电压、温度、功率和能量的准确性。这使得可以轻松评估和分析巴特莫电池模型的有效性。图表显示了电池“Sunwoda SFP-01-2070”的特性数据选项,以评估电池性能。当巴特莫电池模型完成后,将包括预测结果。

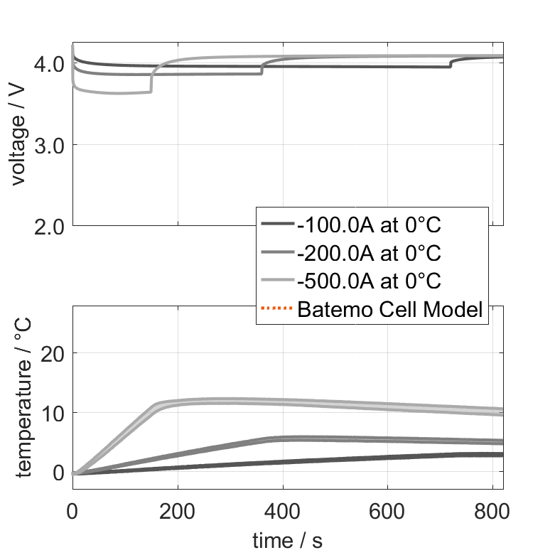
放电特性

Sunwoda_SFP012070_const

  • 放电特性: 电气和热的放电特性非常非线性。
  • 脉冲特性: 不同的电流脉冲形状变化很大。
  • 能量特性: 图表显示了电池在不同功率下能够提供的能量。
  • 功率特性: 电池提供的功率越大,提供这种功率的时间越短。
  • 热特性: 热损失越大,电池温度越高,最终导致功耗增加。

脉冲特性

Sunwoda_SFP012070_pulse

显示实验定义

放电特性
电池单元在不同的环境温度下以不同的恒定电流从 100% SOC 放电。热边界条件为自由对流。当电压达到 2V 或表面温度达到 60°C 时,测量停止。
脉冲特性
电池单元在不同的环境温度下通过带有无负载阶段的电流脉冲从 100% SOC 放电。热边界条件为自由对流。当电压达到 2V 或表面温度达到 60°C 时,测量停止。图表显示了一个脉冲的缩放视图。
能量特性
电池单元在 25°C 下以不同的恒定电流从 100% SOC 放电。热边界条件为自由对流。当电压达到 2V 或表面温度达到 60°C 时,测量停止。图表显示了实验的交换能量和平均功率。
功率特性
电池单元在 25°C 下以不同的恒定电流从 100% SOC 放电。热边界条件为自由对流。当电压达到 2V 或表面温度达到 60°C 时,测量停止。图表显示了实验的持续时间和平均功率。
热特性
电池单元在 25°C 下以不同的恒定电流从 100% SOC 放电。热边界条件为自由对流。当电压达到 2V 或表面温度达到 60°C 时,测量停止。图表显示了实验结束时电池单元的表面温度和导出的平均功率。

能量特性

能提供多少能量?

Sunwoda_SFP012070_energy

功率特性

能提供多长时间的功率?

Sunwoda_SFP012070_power

热特性

会变得多热?

Sunwoda_SFP012070_thermal

平均精度和相应的仿真工具将在巴特莫(Batemo)电池模型完成后发布。

Sunwoda SFP-01-2070 数据

巴特莫 提供电池单元 Sunwoda SFP-01-2070 的广泛实验特性评估。数据包含了电池在所有操作区域的测量结果。以下说明和图表描述并展示了可用的测量结果。巴特莫 单元查看器使得数据的简便和快速分析、评估及比较成为可能。请点击这里查看详细信息

恒定电流

Sunwoda_SFP012070_validation_const

电池在各种环境温度下,通过不同的恒定电流从 100% SOC 放电或从 0% SOC 充电。热边界条件为自然对流。测量会在电压达到 2V 或 4.25V 或表面温度达到 60°C 时停止。图表显示了在哪些环境温度和恒定电流下可以进行测量。

脉冲电流

Sunwoda_SFP012070_validation_pulse

电池在各种环境温度下,经过无负载阶段后通过电流脉冲从 100% SOC 放电或从 0% SOC 充电。热边界条件为自然对流。测量会在电压达到 2V 或 4.25V 或表面温度达到 60°C 时停止。图表显示了在哪些环境温度和脉冲电流下可以进行测量。

功率曲线

环境
温度
可用
配置文件
-20 °C profile_check
0 °C profile_check
25 °C profile_check
40 °C profile_check

电池在各种环境温度下提供从 100% SOC 开始的典型功率曲线。热边界条件为自然对流。测量会在电压达到 2V 或表面温度达到 60°C 时停止。表格总结了在这些环境温度下可以获得的曲线。

Sunwoda SFP-01-2070 报告

巴特莫提供电池单元 Sunwoda SFP-01-2070 的详细报告。报告包含了有关电池单元的所有重要方面。这些信息对于进一步评估和比较电池单元非常有用。这是进行电池系统设计决策的重要基础。请点击这里查看详细信息

性能概述
电芯外壳
电芯内部
安全性能
电极的微细结构和材料

Sunwoda SFP-01-2070 Insights

还有更多值得发现

在 Batemo Insights 中解锁 SFP-01-2070 的完整分析

Chemistry & Materials
Get to know active materials for the SFP-01-2070
Impedance & Resistance
Explore impedance spectrum and DCIR (SOC, T) of SFP-01-2070
Heat Power & Efficiency
Explore heat generation and cell efficiency at different temperatures and powers of SFP-01-2070