探索类似电池

TerraE INR21700-58E

获取有关 TerraE INR21700-58E 锂离子电池单元的所有所需信息:全运行范围内的广泛测量数据、具有全球有效性且高精度的物理电池模型,以及包含所有材料和微观结构详细信息的拆解报告。

电池的起源 在自由市场上采购
电池类型 21700
尺寸 21.2 x 70.3 mm
重量 70.3 g
容量
定义关闭
标称容量基于制造商的数据表,如果数据表不可用,则标称容量为估计值。巴特莫在25°C的环境温度下从100%放电,并用恒定电流测量C/10容量。使用0.57A (0.1C) 放电,直到达到2.5V的电压。热边界条件为自然对流。
标称 5.70 Ah
C/10 5.47 Ah
电流
定义关闭
所有数据均来自巴特莫电池实验室的测量结果。
连续电流是完全放电而不使电池过热的最高电流。因此,电池在25°C的环境温度下从100%的充电状态(SOC)开始,以恒定电流放电,直到剩余充电状态降至10%或达到下限电压限制2.5V,或最大表面温度的90%(54°C)。
峰值电流是电池能够在5分钟内提供的电流。因此,电池在25°C的环境温度下从100% SOC开始,以恒定电流放电,直到5分钟后达到下限电压限制2.5V或最大表面温度60°C。对于达到最大表面温度的电池,测量的电流直接作为峰值电流。对于在5分钟后未达到最大表面温度但首先达到下限电压限制的电池,测量的电流会乘以一个修正系数,以估计在5分钟内会将电池加热到最大表面温度的电流。
热边界条件为自然对流。这些操作条件可能超出电池制造商的规格。
连续 7.08 A
峰值 19.6 A
能量
定义关闭
巴特莫测量了在25°C环境温度下,从100%充电状态用恒定电流0.57A (0.1C) 放电直到达到2.5V的C/10能量。热边界条件为自然对流。
C/10 19.6 Wh
功率
定义关闭
所有数据均来自巴特莫电池实验室的测量结果。
连续功率是完全放电而不使电池过热的最高功率。因此,电池在25°C的环境温度下从100%的充电状态(SOC)开始,以恒定电流放电,直到剩余充电状态降至10%或达到下限电压限制2.5V,或最大表面温度的90%(54°C)。
峰值功率是电池能够在5分钟内提供的功率。因此,电池在25°C的环境温度下从100% SOC开始,以恒定电流放电,直到5分钟后达到下限电压限制2.5V或最大表面温度60°C。对于达到最大温度限制的电池,测量的功率直接作为峰值功率。对于在5分钟后未达到最大表面温度但首先达到下限电压限制的电池,测量的功率会乘以一个修正系数,以估计在5分钟内会将电池加热到最大表面温度的功率。
热边界条件为自然对流。这些操作条件可能超出电池制造商的规格。
连续 24.6 W
峰值 69.4 W
能量密度
定义关闭
能量密度由C/10能量、电池重量和电池体积计算得出。
重量能量密度 278 Wh/kg
体积能量密度 788 Wh/l
功率密度
定义关闭
功率密度由峰值功率、电池重量和电池体积计算得出。
重量功率密度 987 W/kg
体积功率密度 2.80 kW/l
Chemistry
definition
cathode ████
anode ████
Resistance
definition
RAC ██ mΩ
Rpol ██ mΩ
DCIR ██ mΩ
Heat Power
definition
@ 1C ██ W
@ 3C ██ W
Efficiency
definition
@ C/2 ██ %
@ 1C ██ %
Unlock more specs in Batemo Insights 使用 Insights 解锁

通过 Batemo Insights 发现更多

使用 100+ 指标、老化数据、热分析等探索 INR21700-58E

试用 Insights

TerraE INR21700-58E 模型

锂离子 TerraE INR21700-58E 电池的 Batemo 电池模型是一个高精度的物理电池模型,具有全局有效性。作为一个数字孪生模型,它可通过模拟将您的决策无缝集成到您的研究、开发和电池分析中。有关巴特莫电池模型的特性和功能的详细信息,请参见 详情

百特模型电池版本 1.312
发布日期 2024年,03月,31日

百特模型通过比较以下范围内的电池仿真和测量数据,展示了百特模型电池的准确性和有效性。验证非常广泛,实验特性覆盖了电池的整个操作区域:在低温和高温下,直到最大电流,并且在整个电量范围内。

电量范围 0 … 100%
电流范围
定义

电流范围是巴特莫电池实验室中使用的电流限制。关于电池安全工作范围的准确定义,请参阅 TerraE INR21700-58E 数据表。
-34 A 放电 … 11 A 充电 (-6.0C … 2.0C)
电压范围
定义

电压范围是巴特莫电池实验室中使用的电压限制。关于电池安全工作电压范围的准确定义,请参阅 TerraE INR21700-58E 数据表。
2.5 … 4.2 V
温度范围
定义

温度范围是巴特莫电池实验室中使用的温度限制。关于电池安全工作温度范围的准确定义,请参阅 TerraE INR21700-58E 数据表。
-20 … 60 °C

此外,巴特莫电池模型的验证将完全透明。巴特莫电池数据包含原始测量数据和仿真数据。所有实验都会计算电压、温度、功率和能量的准确性。这使得可以轻松评估和分析巴特莫电池模型的有效性。图表显示了电池“TerraE INR21700-58E”的特性数据选项,以评估电池性能。当巴特莫电池模型完成后,将包括预测结果。

>放电特性

TerraE_INR2170058E_const

  • 放电特性:电气和热放电行为强烈非线性。
  • 脉冲特性:不同电流脉冲的形状发生显著变化。
  • 能量特性:图表展示了电池在不同功率下能够提供多少能量。
  • 功率特性:电池提供的功率越大,其提供功率的时间越短。
  • 热特性:热损失越大,电池升温越多,导致可用功率减少。

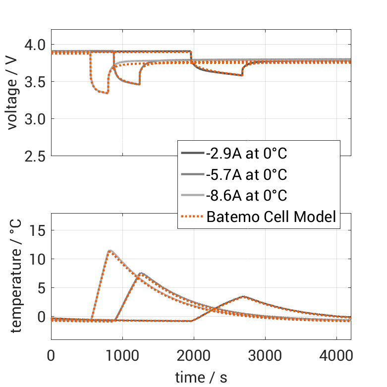
脉冲特性

TerraE_INR2170058E_pulse

显示实验定义

放电特性
电池单元在不同的环境温度下以不同的恒定电流从 100% SOC 放电。热边界条件为自由对流。当电压达到 2.5V 或表面温度达到 60°C 时,测量停止。
脉冲特性
电池单元在不同的环境温度下通过带有无负载阶段的电流脉冲从 100% SOC 放电。热边界条件为自由对流。当电压达到 2.5V 或表面温度达到 60°C 时,测量停止。图表显示了一个脉冲的缩放视图。
能量特性
电池单元在 25°C 下以不同的恒定电流从 100% SOC 放电。热边界条件为自由对流。当电压达到 2.5V 或表面温度达到 60°C 时,测量停止。图表显示了实验的交换能量和平均功率。
功率特性
电池单元在 25°C 下以不同的恒定电流从 100% SOC 放电。热边界条件为自由对流。当电压达到 2.5V 或表面温度达到 60°C 时,测量停止。图表显示了实验的持续时间和平均功率。
热特性
电池单元在 25°C 下以不同的恒定电流从 100% SOC 放电。热边界条件为自由对流。当电压达到 2.5V 或表面温度达到 60°C 时,测量停止。图表显示了实验结束时电池单元的表面温度和导出的平均功率。

能量特性

它能提供多少能量?

TerraE_INR2170058E_energy

功率特性

它能提供功率多长时间?

TerraE_INR2170058E_power

热特性

它有多热?

TerraE_INR2170058E_thermal

百特模型电池的平均准确性提供了其准确性的概述。因此,电压、温度、能量和功率的测量与仿真结果之间的差异的均方根值被用于得出相应的准确性。相对数值将准确性与相应的绝对值相关联。

平均电压准确性 0.027 V 0.8 %
平均温度准确性 0.7 K 0.9 %
平均功率准确性 0.18 W 0.7 %
平均能量准确性 0.200 Wh 2.3 %

百特模型电池精确描述了电池的所有方面。它是电池系统开发的完美工具。

TerraE INR21700-58E 数据

巴特莫 提供电池单元 TerraE INR21700-58E 的广泛实验特性评估。数据包含了电池在所有操作区域的测量结果。以下说明和图表描述并展示了可用的测量结果。巴特莫 单元查看器使得数据的简便和快速分析、评估及比较成为可能。请点击这里查看详细信息

恒定电流

TerraE_INR2170058E_validation_const

电池在各种环境温度下,通过不同的恒定电流从 100% SOC 放电或从 0% SOC 充电。热边界条件为自然对流。测量会在电压达到 2.5V 或 4.2V 或表面温度达到 60°C 时停止。图表显示了在哪些环境温度和恒定电流下可以进行测量。

脉冲电流

TerraE_INR2170058E_validation_pulse

电池在各种环境温度下,经过无负载阶段后通过电流脉冲从 100% SOC 放电或从 0% SOC 充电。热边界条件为自然对流。测量会在电压达到 2.5V 或 4.2V 或表面温度达到 60°C 时停止。图表显示了在哪些环境温度和脉冲电流下可以进行测量。

功率曲线

环境
温度
可用
配置文件
-20 °C profile_check
0 °C profile_check
25 °C profile_check
40 °C profile_check

电池在各种环境温度下提供从 100% SOC 开始的典型功率曲线。热边界条件为自然对流。测量会在电压达到 2.5V 或表面温度达到 60°C 时停止。表格总结了在这些环境温度下可以获得的曲线。

TerraE INR21700-58E 报告

巴特莫提供电池单元 TerraE INR21700-58E 的详细报告。报告包含了有关电池单元的所有重要方面。这些信息对于进一步评估和比较电池单元非常有用。这是进行电池系统设计决策的重要基础。请点击这里查看详细信息

性能概述
电芯外壳
电芯内部
安全性能
电极的微细结构和材料

TerraE INR21700-58E Insights

还有更多值得发现

在 Batemo Insights 中解锁 INR21700-58E 的完整分析

Chemistry & Materials
Get to know active materials for the INR21700-58E
Impedance & Resistance
Explore impedance spectrum and DCIR (SOC, T) of INR21700-58E
Heat Power & Efficiency
Explore heat generation and cell efficiency at different temperatures and powers of INR21700-58E