• 100% Consistency – no datasheets, no estimates, only high-quality data acquisition
• Instant One-Click Comparisons – find the perfect cell in seconds
• Unlimited Access to all cells for members
Get everything you need for the sodium-ion battery cell HiNa Battery ME185: Extensive measurement data in the total operation regime, a high-precision, physical battery model with global validity, and a teardown report that contains all details about materials and microstructures.
| Cell Origin | purchased on free market |
| Cell Format | prismatic |
| Dimensions | 204 x 174 x 71.7 mm |
| Weight | 4.9083 kg |
| Capacity definitionclose
The nominal capacity originates from the manufacturer’s data sheet, if available. When the data sheet is unavailable, the nominal capacity is estimated. Batemo measured the C/10 capacity by discharging the cell at an ambient temperature of 25°C from 100% with a constant current of 18.5A (0.1C) until reaching the voltage of 2V. The thermal boundary condition is free convection. |
nominal 185 Ah C/10 199.8 Ah |
| Current definitionclose
All quantities are measurement results from the Batemo battery laboratory. The continuous current is the highest current that completely discharges the cell without overheating it. Therefore, the cell is discharged from 100% state of charge (SOC) at an ambient temperature of 25°C with a constant current until a residual state of charge of 10% and either the lower voltage limit of 2V or 90% of the maximum surface temperature (45°C) is reached. The peak current is the current that the cell can supply for 5 minutes. The cell is therefore discharged from 100% SOC at an ambient temperature of 25°C with a constant current until it reaches either the lower voltage limit of 2V or the maximum surface temperature of 50°C after 5 minutes. For cells that reach the maximum surface temperature, the measured current is taken directly as the peak current. For cells that do not reach the maximum surface temperature after 5 minutes because they reach the lower voltage limit first, the measured current is multiplied by a correction factor that estimates the current that would have heated the cell to the maximum surface temperature within 5 minutes. The thermal boundary condition is free convection. These operating conditions may be outside the cell manufacturer’s specification. |
continuous 214 A peak 673 A |
| Energy definitionclose
Batemo measured the C/10 energy by discharging the cell at an ambient temperature of 25°C from 100% with a constant current of 18.5A (0.1C) until reaching the voltage of 2V. The thermal boundary condition is free convection. |
C/10 607.4 Wh |
| Power definitionclose
All quantities are measurement results from the Batemo battery laboratory. The continuous power is the highest power that completely discharges the cell without overheating it. Therefore, the cell is discharged from 100% state of charge (SOC) at an ambient temperature of 25°C with a constant current until a residual state of charge of 10% and either the lower voltage limit of 2V or 90% of the maximum surface temperature ( 45°C) is reached. The peak power is the power the cell can supply for 5 minutes. The cell is therefore discharged from 100% SOC at an ambient temperature of 25°C with a constant current until it reaches either the lower voltage limit of 2V or the maximum surface temperature of 50°C after 5 minutes. For cells that reach the maximum temperature limit, the measured power is directly taken as peak power. For cells that do not reach the maximum surface temperature after 5 minutes because they reach the lower voltage limit first, the measured power is multiplied by a correction factor that estimates the power that would have heated the cell to the maximum surface temperature within 5 minutes. The thermal boundary condition is free convection. These operating conditions may be outside the cell manufacturer’s specification. |
continuous 631 W peak 2.14 kW |
| Energy Density definitionclose
The energy densities result from the C/10 energy, the cell weight and the cell volume. |
gravimetric 124 Wh/kg volumetric 239 Wh/l |
| Power Density definitionclose
The power densities result from the peak power, the cell weight and the cell volume. |
gravimetric 436 W/kg volumetric 840 W/l |
| Chemistry definition |
cathode ████ anode ████ |
| Resistance definition |
RAC ██ mΩ Rpol ██ mΩ DCIR ██ mΩ |
| Heat Power definition |
@ 1C ██ W @ 3C ██ W |
| Efficiency definition |
@ C/2 ██ % @ 1C ██ % |
Unlock More with Batemo Insights
Explore ME185's cell chemistry, impedance, heat generation, safety features and more — and compare it to 300+ cells
The Batemo Cell Model of the sodium-ion battery cell HiNa Battery ME185 is a high-precision, physical cell model with global validity. As a digital twin it seamlessly integrates into your research, development and battery analytics by basing your decisions on simulations. See the details to learn more about the features and capabilities of the Batemo Cell Model. Batemo demonstrates the accuracy and validity of the Batemo Cell Model by comparing battery simulation and measurement data in the range given below. Validation is extensive, experimental characterization covers the total operational area of the cell: At low and high temperatures, up to the maximal current and in the whole state of charge range.
| State of Charge Range | 0 … 100% |
| Current Range definitionclose The current range are the electrical current limits as used in the Batemo battery laboratory. Please see the HiNa Battery ME185 data sheet for the precise definition of the current safe area of operation of the cell. |
-740 A discharge … 185 A charge (-4C … 1C) |
| Voltage Range definitionclose The voltage range are the electrical voltage limits as used in the Batemo battery laboratory. Please see the HiNa Battery ME185 data sheet for the precise definition of the voltage safe area of operation of the cell. |
2 … 3.85 V |
| Temperature Range definitionclose The temperature range are the thermal limits as used in the Batemo battery laboratory. Please see the HiNa Battery ME185 data sheet for the precise definition of the temperature safe area of operation of the cell. |
-20 … 50 °C |
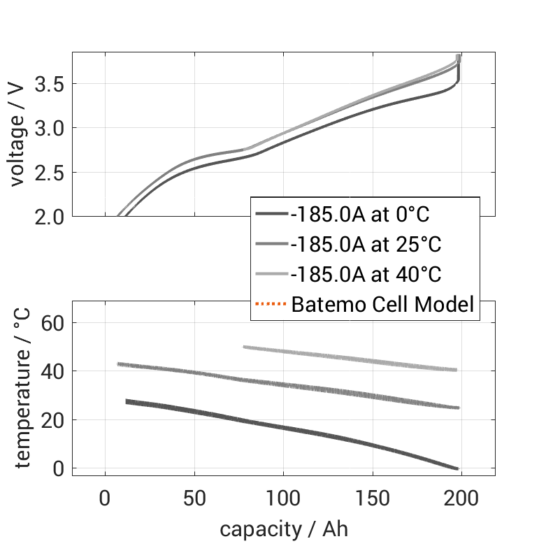
Moreover, the Batemo Cell Model validation will be fully transparent. The Batemo Cell Data contains the raw measurement and simulation data. For all experiments the voltage, temperature, power and energy accuracies are calculated. This allows straight-forward evaluation and analysis of the Batemo Cell Model validity. The graphs show a selection of characteristic data of the cell HiNa Battery ME185 to evaluate the cell performance. The prediction of the Batemo Cell Model is included as soon as the Batemo Cell Model is finished.
show experiment definitionsclose
The mean accuracies and supported simulation tools are published as soon as the Batemo Cell Model is finished.
Batemo offers an extensive, experimental characterization of the sodium-ion battery cell HiNa Battery ME185. The data contains measurement results in the total operational area of the cell. The descriptions and graphs below explain and show the available measurements. The Batemo Cell Viewer allows easy and fast analysis, evaluation and comparison of the data. See the details to learn more.
The cell is discharged from 100% SOC or charged from 0% SOC with different constant currents at different ambient temperatures. The thermal boundary condition is free convection. The measurement stops when reaching either the voltage of 2V or 3.85V or the surface temperature of 50°C. The graph shows for which ambient temperatures and charging and discharging constant currents measurements are available.
The cell is discharged from 100% SOC or charged from 0% SOC with current pulses followed by no-load phases at different ambient temperatures. The thermal boundary condition is free convection. The measurement stops when reaching either the voltage of 2V or 3.85V or the surface temperature of 50°C. The graph shows for which ambient temperatures and pulse currents measurements are available.
| Ambient Temperature |
Available Profiles |
|---|---|
| -20 °C | ![]() |
| 0 °C | ![]() |
| 25 °C | ![]() |
| 40 °C | ![]() |
The cell delivers a typical power profile from 100% SOC at different ambient temperatures. The thermal boundary condition is free convection. The measurement stops when reaching either the voltage of 2V or the surface temperature of 50°C. The table summarizes for which ambient temperatures the profile is available.
Batemo offers a detailed report of the sodium-ion battery cell HiNa Battery ME185. The report covers all important aspects about the cell. This information greatly helps you to further evaluate and compare the cell. It is a profound basis for your decisions concerning your battery system design. See the details to learn more.
| Performance Overview | ![]() |
| Cell Exterior | ![]() |
| Cell Interior | ![]() |
| Safety Features | ![]() |
| Electrode Microstructure and Material | ![]() |
Unlock full analysis for ME185 in Batemo Insights
Batemo is not a battery reseller. You can purchase the cell HiNa Battery ME185 from Ampace. Fill out the form below to receive a quote.
Batemo is not a battery reseller. You can purchase the cell HiNa Battery ME185 from EVE. Fill out the form below to receive a quote.
Get in touch with an expert and receive a customized quotation for access to Batemo Insights.
Batemo is not a battery reseller. You can purchase the cell HiNa Battery ME185 from Reliance. Fill out the form below to receive a quote.
Batemo is not a battery reseller. You can purchase the cell HiNa Battery ME185 from BAK Battery. Fill out the form below to receive a quote.
Batemo is not a battery reseller. You can purchase the cell HiNa Battery ME185 from TENPOWER. Fill out the form below to receive a quote.
Batemo is not a battery reseller. You can purchase the cell HiNa Battery ME185 from Lishen Battery (SuZhou) Co., Ltd. Fill out the form below to receive a quote.
Batemo is not a battery reseller. You can purchase the cell HiNa Battery ME185 from FEB. Fill out the form below to receive a quote.
Batemo is not a battery reseller. You can purchase the cell HiNa Battery ME185 from HighStar. Fill out the form below to receive a quote.
Batemo is not a battery reseller. You can purchase the cell HiNa Battery ME185 from V4Smart. Fill out the form below to receive a quote.
Batemo is not a battery reseller. You can purchase the cell HiNa Battery ME185 from Farasis. Fill out the form below to receive a quote.
Batemo is not a battery reseller. You can purchase the cell HiNa Battery ME185 from muRata. Fill out the form below to receive a quote.
Batemo is not a battery reseller. You can purchase the cell HiNa Battery ME185 from DMEGC. Fill out the form below to receive a quote.
Batemo is not a battery reseller. You can purchase the cell HiNa Battery ME185 from Aspilsan. Fill out the form below to receive a quote.
Batemo is not a battery reseller. You can purchase the cell HiNa Battery ME185 from Molicel. Fill out the form below to receive a quote.
Batemo is not a battery reseller. You can purchase the cell HiNa Battery ME185 from BMZ Germany GmbH. Fill out the form below to receive a quote.
Request a Batemo Cell Model
Get in touch with an expert and request the most accurate battery model of the HiNa Battery ME185 cell.
Get the Batemo Cell Report
Get in touch with an expert and receive a quotation for the detailed cell report of the HiNa Battery ME185 cell.
Get in touch with an expert and receive a quotation for the full experimental characterization of the HiNa Battery ME185 cell.
You are currently viewing a placeholder content from Vimeo. To access the actual content, click the button below. Please note that doing so will share data with third-party providers.
More InformationYou are currently viewing a placeholder content from YouTube. To access the actual content, click the button below. Please note that doing so will share data with third-party providers.
More InformationYou need to load content from reCAPTCHA to submit the form. Please note that doing so will share data with third-party providers.
More InformationYou are currently viewing a placeholder content from Vimeo. To access the actual content, click the button below. Please note that doing so will share data with third-party providers.
More InformationYou are currently viewing a placeholder content from YouTube. To access the actual content, click the button below. Please note that doing so will share data with third-party providers.
More InformationYou are currently viewing a placeholder content from Bunny Stream. To access the actual content, click the button below. Please note that doing so will share data with third-party providers.
More InformationYou are currently viewing a placeholder content from Wistia. To access the actual content, click the button below. Please note that doing so will share data with third-party providers.
More InformationYou are currently viewing a placeholder content from Facebook. To access the actual content, click the button below. Please note that doing so will share data with third-party providers.
More InformationYou are currently viewing a placeholder content from Instagram. To access the actual content, click the button below. Please note that doing so will share data with third-party providers.
More InformationYou are currently viewing a placeholder content from X. To access the actual content, click the button below. Please note that doing so will share data with third-party providers.
More Information